Table of Contents
In this article, we are going to review the most common ways to calculate gas flow rate in a tube utilizing differential pressure measurements. Read more about all the different types of flow measurements.
Gas flow rate
The mobility of liquid and gaseous elements causes fluid flow, and pressure sensors are important in identifying various elements of fluid flow. Fluid dynamics enables you to comprehend the variables that influence fluid movement. Before reading this article, you should make sure that you are familiar with the following concepts.
Basic Fluid Dynamics Concepts
Laminar & Turbulent Flow
Laminar flow is a form of fluid (gas or liquid) flow in which the fluid flows smoothly or in regular patterns. In contrast, in turbulent flow, the fluid suffers unpredictable fluctuations and mixing.
The velocity, pressure, and other flow parameters at each point in the fluid stay constant in laminar flow, also known as streamline flow. Laminar flow across a horizontal surface is made up of tiny layers, or laminae, that are all parallel to one another.
All of the other layers glide over each other, but the fluid in contact with the horizontal surface remains immobile.

Reynolds number (Re)
In many fluid flow scenarios, the Reynolds number (Re) aids in the prediction of flow patterns. At low Reynolds numbers, laminar flow dominates, whereas, at high Reynolds numbers, turbulent flow dominates.
Turbulence is caused by changes in the fluid’s speed and direction, which can occasionally cross or even travel in the opposite direction of the flow’s main direction (eddy currents). These eddy currents begin to stir the flow, consuming energy in the process and increasing the risk of cavitation in liquids. In fluid mechanics,
Reynolds number is a crucial dimensionless variable. The formula of Reynolds number is as follows:
Where,
Re = Reynolds number
ρ = density of the fluid
u = flow speed
L = characteristic linear dimension
μ = dynamic viscosity of the fluid
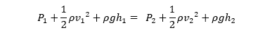
Bernoulli’s Equation
The relationship between pressure and velocity in fluids is described quantitatively by Bernoulli’s equation, named after its discoverer, the Swiss scientist Daniel Bernoulli (1700–1782).
Bernoulli’s equation states that for an incompressible, frictionless fluid, the following sum is constant:
Where,
P = absolute pressure
ρ = density of the fluid
v = velocity of the fluid
g = acceleration due to gravity
h = the height above some reference point
If we follow a small volume of fluid along its path, various quantities in the sum may change, but the total remains constant. Let the subscripts 1 and 2 refer to any two points along the path that the bit of fluid follows; Bernoulli’s equation becomes:
Discharge coefficient
The discharge coefficient (efflux coefficient) is the ratio of the actual discharge to the theoretical discharge in a venturi nozzle or orifice constriction.
In effect, discharge coefficient is the ratio of the mass flow rate at the discharge end of the construction to that of an ideal construction expanding an identical working fluid from the same initial conditions to the same exit pressures.
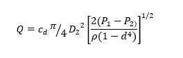
Calculating gas flow via artificial restriction
In order to measure flow rate via differential pressure in a tube, an obstacle is introduced in the tube to restrict the flow and create an artificial differential pressure. The most common types of flow restrictions are:
Venturi
Nozzle

Orifice

The pressure drop that happens in fluid flow applications is determined by several variables, including laminar or turbulent flow, flow velocity, viscosity, and Reynolds number, as well as the pipe’s diameter, length, and form factor.
Venturi tubes, nozzles and orifice plates techniques make the situation easier to manage. In these cases, the flow is related to ΔP (P1-P2) and can be calculated by the following equation:
Where,
Q = volumetric flow
cd = discharge coefficient
ρ = density of the fluid
d = D2/D1
Continue Reading: Absolute, Gauge, Differential & Sealed pressure
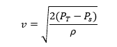
Calculating gas flow via Pitot tubes
Pitot tubes use a different principle of operation from that of the artificial restriction constructions. Pitot tubes use the difference between the total and static pressure in order to calculate the velocity of the fluid flowing in the pipe.
There are many geometries that can be applied in order to construct a pitot tube. In the figure below we simply show the theoretical principle of operation.

Pitot Tube
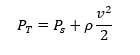
Total pressure=static pressure+dynamic pressure
Solving for velocity:

Measurements in specific Applications
Medical
Gas flow measurements with low pressure drop are quite often required in medical applications. Such applications can be respiratory equipment, ventilator flow/control and analysis, as well as gas and liquid flow monitoring for treatment, such as spirometers.
For example, a spirometer typically has 4kPa differential pressure, while a ventilator typically has 25 cm H2O differential pressure.
Further Reading: Pressure and Flow Sensors for Healthcare
HVAC
The right air filters and frequent monitoring to identify a filter that needs to be changed are required in heating, ventilation, and air conditioning (HVAC) systems for clean and low power consumption. The minimal efficiency reporting value, or MERV rating, is determined by the American Society of Heating, Refrigerating, and Air-Conditioning Engineers (ASHRAE). The pressure drops over an air filter is measured to reduce motor power usage.
ES Systems offers an ideal sensor for such applications – ESCP-BMS1. The ESCP-BMS1 sensor offers unique overpressure tolerance due to its manufacturing nature. This tolerance prevents system failures due to water hammer or similar effects. A 10mbar sensor can withstand more than 1000mbar over pressure with no alteration in performance.
Related Product: ESCP-BMS1 pressure sensor with an overpressure tolerance of up to 100x
Tools for Fluid Calculations and Simulation
There are many online tools that can help you with the mathematical calculations illustrated above. Some examples are: efunda, valvias, Pressure Drop Online-Calculator and others.
For more complicated calculations, advanced simulations and analysis of fluid dynamics you can also refer to sophisticated software such as: ANSYS, MathWorks, SOLIDWORKS, and others.

